

导读:
立方体脂质纳米颗粒作为脂质反相双连续立方相的胶体分散体系,因兼具疏水与亲水区域,在药物递送领域潜力巨大,但传统方法难实现尺寸均一与可调。近期,有研究人员提出一种基于微流控流体聚焦的溶剂交换方法,可实现立方体脂质纳米颗粒的尺寸可控制备,该方法通过调节水- F127侧流与植烷三醇-乙醇前驱体的流速比(QR)将颗粒尺寸从195 nm调控至125 nm,且产物经表征证实为Pn3m空间群的立方相结构,性能显著优于传统批量溶剂交换法。相关研究以“Microfluidic Flow-Focusing for Size-Controlled Formation of Cubosomes”为题目,发表于期刊《Langmuir》。
本文要点:
1、本研究报道了一种微流控流动聚焦溶剂置换方法,用于制备尺寸可调的立方体脂质纳米颗粒。
2、该方法将植烷三醇溶于乙醇形成前驱体溶液,使其在十字形微通道中受到两侧含稳定剂F127的水相流体聚焦。
3、通过调节水相与前驱体溶液的流速比(QR),可控制前驱体流宽度及溶剂混合时间,从而调控植烷三醇自组装动力学与最终颗粒尺寸。
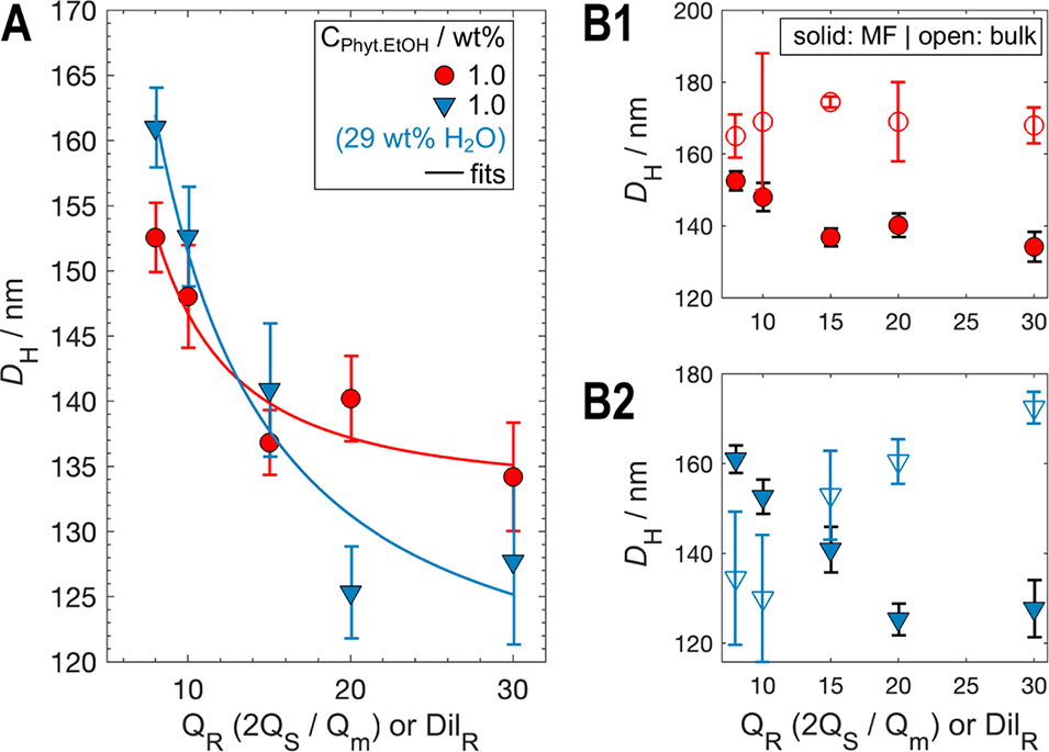
4、结果表明,立方体脂质纳米颗粒尺寸随 QR增大从195 nm单调减小至125 nm,多分散指数处于中低范围。
5、与传统批量溶剂置换法相比,该微流控方法在尺寸控制方面表现出显著优势。进一步优化装置有望提高重现性与可扩展性。



图1. 用于组装尺寸可控立方体脂质纳米颗粒的微流控溶剂交换方法示意图

图2. 立方体脂质纳米颗粒的小角 X 射线散射(SAXS)结构表征

图3. 显示立方体脂质纳米颗粒与囊泡共存的冷冻透射电子显微镜(Cryo-TEM)图像。A、B、C 图分别对应流速比(QR)为 8、10、15 时形成的样品:红色箭头标注部分立方体脂质纳米颗粒,黑色箭头和紫色虚线箭头分别指向完全包裹和部分包裹于约 7 nm 厚暗扩散区域中的囊泡;插图为所选区域(红色箭头处)的二维快速傅里叶变换(2D FFT)图,可清晰显示周期性结构的存在。所有图像的比例尺均为 250 nm。

图4. 立方体脂质纳米颗粒粒径随流速比(QR)变化的动态光散射(DLS)表征及建模

图5. 前驱液中水含量对立方体脂质纳米颗粒的影响
论文链接:https://doi.org/10.1021/acs.langmuir.5c03488
(本文仅供参考学习及传递微流控研究成果,版权归原作者所有,如侵犯权益,请联系删除)






