
导读:
空心微球含能材料由于其独特的结构和性能,在多个领域展现出广泛的应用潜力。近期,中北大学环境与安全工程学院武碧栋副教授团队通过双液滴微流控技术,基于溶剂扩散原理成功制备了空心结构的n-Al/Fe2O3亚稳态分子间复合物(MICs)微球。系统揭示了有机溶剂流速与悬浮液浓度对微球壳层厚度及表面形貌的调控机制。研究发现,空心结构通过促进热对流传递使热分解温度较实心微球提前5.7–12°C,薄壳微球(壳厚约5μm)在燃烧过程中展现出更高反应效率与更少残留物,为高能含能材料的微观结构设计与性能优化提供了创新方法。相关研究以“Controlled preparation of hollow n-al/Fe2O3 MICs microspheres by two-droplet microfluidic technique and performance study”为题目,发表在期刊《Ceramics International》上。
本文要点:
1、本文采用双液滴微流控技术,基于溶剂扩散原理制备了空心结构的n-Al/Fe2O3亚稳态分子间复合物(MICs)微球。
2、通过调控有机溶剂流速(0.1–0.4 mL/min)与悬浮液浓度(0.2–0.4 g/mL),系统研究了微球壳层厚度与表面形貌的演变规律。
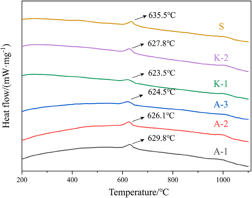
3、结果表明,空心微球相比实心微球体积密度降低3.76%–8.46%(实心0.957 g/cm3),且壳层越薄、空腔越大,热分解温度提前5.7–12°C(实心635.5°C)。
4、燃烧实验显示,空心结构显著提升反应效率,薄壳微球(A-3、K-1)燃烧更剧烈且残留物减少。
5、该技术可高效制备结构均一、性能可控的MICs微球,为多结构含能材料开发提供了新思路。
空心结构n-Al/Fe2O3 MICs微球制备过程如下:
1、材料与设备配置
微流控平台:由双液滴同轴芯片、注射泵、压力泵及聚四氟乙烯管组成。
连续相:含5%十二烷基苯磺酸钠(SDBS)的水溶液,用于稳定微滴界面。
分散相1:由n-Al粉末(100 nm)、n-Fe2O3粉末(α型)、粘合剂(5%氟橡胶F2604与硝化纤维素NC混合溶液)及乙酸乙酯(EA)组成,形成均匀悬浮液。
分散相2:有机溶剂(文中未具体说明种类,推测为与水部分混溶的低沸点溶剂)。
2、微滴生成与空心结构形成
同轴注入:分散相1(含燃料与氧化剂)与分散相2(有机溶剂)通过三层毛细管同轴注入连续相中。因连续相流速更高,剪切力将分散相切割为双层微滴(核心为分散相2,外层为分散相1)。
溶剂扩散机制:分散相2中的有机溶剂快速向水相扩散(因混溶性高),导致核心体积收缩,形成空腔。分散相1中的EA溶解度低,维持微滴外壳形态,同时粘合剂(F2604/NC)固化外层,固定n-Al/Fe2O3颗粒。
3、关键参数调控
有机溶剂流速(1–0.4 mL/min):流速越高,扩散速率越快,空腔体积增大,壳层减薄(如0.3 mL/min时壳厚约5 μm);流速超过0.4 mL/min时,微滴无法维持球形,形成碗状结构。
悬浮液浓度(2–0.4 g/mL):浓度越高,壳层致密性增强(0.4 g/mL时表面光滑,壳厚约15 μm);低浓度(0.2 g/mL)导致壳层疏松多孔。
4、后处理与表征
固化与干燥:微滴在去离子水中固化后,经洗涤、过滤及干燥得到成品。
结构验证:通过SEM、XRD和FT-IR确认空心结构完整,微球中仅存在n-Al粉末和n-Fe2O3粉末晶体,Fe2O3的α相晶体结构在制备过程中没有发生变化。
空心微球相较于实心微球在多个方面展现出显著优势,具体包括:
首先,其独特的空心结构大幅降低了体积密度(较实心微球降低76%–8.46%),在航空航天、军事装备等需要轻量化的场景中具有重要应用价值。
其次,空心微球的热分解温度较实心微球提前7–12°C,这得益于内部空腔通过热对流加速热量传递,使反应从内外同步触发,大幅提升能量释放效率。
在燃烧性能方面,空心微球因薄壳结构和更大的比表面积,显著增加了燃料与氧化剂的接触面积,同时空腔形成的氧气通道优化了燃烧环境,使得燃烧残留几乎为零,火焰更剧烈且燃烧时间集中(如薄壳微球A-3的火焰集中在5–60 ms),能量释放更为充分。
此外,通过调节有机溶剂流速(1–0.4 mL/min)和悬浮液浓度(0.2–0.4 g/mL),可精准控制壳层厚度(5–15 μm)与空腔大小,满足不同场景需求(如高反应速率的薄壳设计或高机械强度的厚壳设计)。
最后,空心微球的高球形度(平均>9)和均匀粒径分布(跨度<0.4)减少了颗粒团聚风险,提升了储存与运输的安全性。这些优势使其在高能推进剂、燃烧武器、工业热源等领域展现出广阔的应用潜力。

图1.空心结构n-Al/Fe2O3 MICs微球制备示意图。

图2.不同有机溶剂流速下制备的n-Al/Fe2O3 MICs微球以及实心微球的SEM图:(a)流速为0.1ml/min;(b)流速为0.2ml/min;(c)流速为0.3ml/min;(d)流速为0.2ml/min;(e)流速为0.4ml/min。

图3.不同悬浮液浓度下制备的n-Al/Fe2O3 MICs微球以及实心微球的SEM图:(a)浓度为0.2g/ml;(b)浓度为0.3g/ml;(c)浓度为0.4g/ml。

图4.空心微球形成机理图。

图5.微球样品的粒径分布。

图6.微球样品的球形度和跨度分布。

图7.微球样品的休止角图。

图8.微球样品的堆积密度和相对误差图。

图9.微球样品的XRD和FT-IR图:(a)XRD;(b)FT-IR。

图10.微球样品的DSC图。

图11.微球样品传热过程的机理图。

图12.微球样品点火过程图。
论文链接:https://doi.org/10.1016/j.ceramint.2025.04.157






