
导读:
近期,有研究人员利用乐高启发的液滴微流控装置,成功合成了具有磁性和热能存储功能的双功能微胶囊,实现了对相变材料的高效封装和性能调控。相关研究以“Lego-Microfluidics Generated Magnetically Responsive Bifunctional Microcapsules with Encapsulated Phase Change Material”为题目,发表在期刊《ACS Sustainable Chemistry & Engineering》上。该研究不仅展示了一种高效、环保且快速的微胶囊制备方法,还为多功能材料的设计和应用提供了新的思路。
本文要点:
1、本研究开发了一种创新的乐高微流控技术,用于在室温下合成高度单分散的双功能微胶囊,这些微胶囊包裹有相变材料(PCM),并展现出磁性和热能存储性能。
2、在短短80秒内,无需外部加热或冷却,即可合成包封十六烷(HD)的氧化铁(II,III)(Fe3O4)纳米粒子嵌入微胶囊。
3、该过程涉及形成水包油包油(O/O/W)型双乳液液滴,其中使用诺兰光学胶粘剂(NOA)作为光聚合壳层,并通过硫醇-烯“点击”化学反应实现即时聚合,固化壳层,从而最终形成微胶囊。
4、壳厚为17.1 μm的微胶囊中PCM含量最高,达到63.3%。
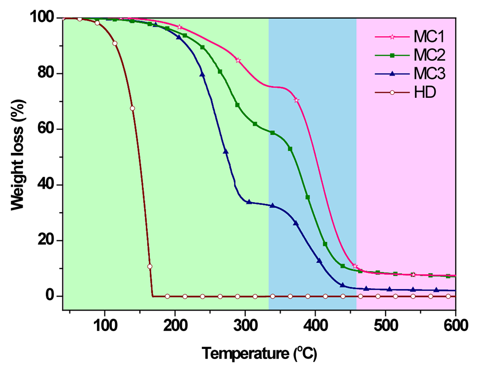
5、热重分析(TGA)显示,嵌入Fe3O4纳米颗粒的微胶囊比纯PCM具有显著提高的热稳定性;而振动样品磁强计(VSM)验证了随着Fe3O4纳米颗粒含量的增加,其饱和磁化强度和剩余磁化强度也随之增大。
该双功能微胶囊的制备使用了以下材料:
1、内相(PCM):选择十六烷(HD)作为有机相变材料(PCM),其具有较高的熔化焓(约240 J/g)和相变温度(约20°C)。
2、中间相(聚合物相):将四氧化三铁(Fe3O4)纳米颗粒分散在诺兰德光学粘合剂(NOA)和丙酮的混合溶液中(质量比为80:20)。该混合溶液作为中间相,用于形成微胶囊的外壳。
3、外相:使用含有2%(质量分数)聚乙烯醇(PVA)和30%甘油的水溶液作为外相,PVA用于稳定双乳液液滴,甘油用于调节外相的粘度。
乐高微流控技术是一种创新的微流控装置设计方法,它借鉴了乐高积木的模块化和可拼接特性,通过组装和调整玻璃毛细管来实现精确的微流体操控和微胶囊的制备。以下是乐高微流控技术的工作原理和关键步骤:
1.装置设计与组装
- 模块化设计:乐高微流控装置由多个可拆卸的模块组成,每个模块包含一个或多个玻璃毛细管。这些模块通过类似乐高的连接方式(如插销和插孔)相互连接,形成复杂的流体通道网络。
- 可调节性:玻璃毛细管的位置和角度可以通过螺钉或其他固定装置进行微调,使得装置能够根据需要精确地调整流体的流动路径和混合条件。
2.流体注入与乳液液滴形成
- 多相流体注入:在典型的双功能微胶囊制备过程中,内相(如相变材料PCM)、中间相(如嵌入Fe3O4纳米颗粒的光聚性材料)和外相(如水相)分别通过不同的毛细管注入微流控装置。
- 乳液液滴生成:通过精确控制各相流体的流速和毛细管的几何结构,内相被中间相包裹形成油包油(O/O)乳液液滴,随后这些乳液液滴被外相进一步包裹,形成水包油包油(O/O/W)双乳液液滴。
3.微胶囊壳层固化
- 即时聚合:在微流控装置中形成的乳液滴通过紫外光照射进行即时聚合。紫外光触发中间相中的光聚性材料(如诺兰德光学粘合剂NOA)发生硫醇-烯“点击”化学反应,使壳层快速固化。
- 固化条件:整个固化过程通常在短时间内完成(如约80秒),无需外部加热或冷却,具有高效、节能的特点。
4.微胶囊收集与后处理
- 收集:固化后的微胶囊从微流控装置的出口处收集。
- 清洗与干燥:微胶囊经过多次清洗,去除表面残留的外相液体和其他杂质,然后进行自然干燥,得到最终的微胶囊产品。
5.优势与应用
- 精确控制:乐高微流控技术能够精确控制微胶囊的尺寸、形状和壳层厚度,从而实现对微胶囊性能的精细调控。
- 灵活性与可扩展性:装置的模块化设计使得实验条件可以快速调整和优化,同时该技术也易于扩展至大规模生产。
- 多功能性:通过在微胶囊壳层中嵌入功能性纳米颗粒(如磁性纳米颗粒),可以赋予微胶囊磁性、热响应等多重功能,拓展其在不同领域的应用。
乐高微流控技术结合了微流控的精确操控能力和乐高积木的灵活性,为微胶囊的制备提供了一种高效、可定制化的新方法。

图1.(a)乐高微流体装置的示意图(Qi−内PCM相,Qm−中间NOA+丙酮相,Qo−外PVA溶液+甘油相);(b)核壳液滴形成的微流体过程;(c)实验装置。

图2.通过扫描样品的单个微胶囊获得的EDX光谱和元素图谱:(a)MC4;(b)MC5;(c)MC2(比例尺250μm);(d)微胶囊悬浮液和被磁体吸引的微胶囊的数码照片;(e)微胶囊的3D图像显示Fe3O4纳米粒子嵌入表面。

图3.微流体生成不同壳厚度的核壳液滴:(a1)MC1;(b1)MC2;(c1)MC3。(a2)、(b2)、(c2)和(a3)、(b3)、(c3)分别是在4×和10×放大倍数下捕获的固化微胶囊的相应亮场显微镜图像。

图4.微胶囊的SEM图像:(a1,a2)MC1;(b1,b2)MC2;(c1,c2)MC3。(a3)、(b3)和(c3)切片机切割后测量的相应样品的壳厚度。

图5.HD、MC1、MC2和MC3的DSC热图。

图6.纯HD和微胶囊样品MC1、MC2和MC3的TGA热图。

图7.(a)偏振显微镜图像显示了样品MC3熔化和结晶过程中的实时相变监测(液体HD呈浅红色,结晶HD呈深绿色);(b)通过热循环实验获得的微胶囊样品MC3的相变参数(Tm,i为初始熔融温度,Tm,f为最终熔融温度,Tc,i为起始结晶温度,Tc,f为最终结晶温度);(c)指示样品MC3热可靠性的DSC热图。

图8.裸微胶囊、MC3、MC4和MC5的磁滞回线。
论文链接:https://doi.org/10.1021/acssuschemeng.4c00585
Previous: 单步微流控方法制备纳米颗粒涂层功能微纤维,为水体净化助力






